sexta-feira, 16 de julho de 2021

 

A computação bayesiana aproximada de radiocarbono e o registro paleoambiental mostram resiliência populacional em Rapa Nui (Ilha de Páscoa)

Resumo

Examinar como as populações humanas do passado responderam às mudanças ambientais e climáticas é um foco central das ciências históricas. O uso de distribuições de probabilidade somadas (SPD) de datas de radiocarbono como um proxy para estimar os tamanhos relativos da população fornece um método amplamente aplicável nesta área de pesquisa. As reconstruções paleodemográficas e a modelagem com SPDs, no entanto, são prejudicadas pela falta de métodos aceitos para o ajuste do modelo, ferramentas para avaliar o impacto demográfico de variáveis ​​ambientais ou climáticas e um meio para comparação formal de vários modelos. Essas deficiências limitam severamente nossa capacidade de resolver de forma confiável questões cruciais de interações anteriores entre humanos e ambientes. Propomos uma solução usando Computação Bayesiana Aproximada (ABC) para ajustar modelos demográficos complexos a SPDs observados.Usando um estudo de caso de Rapa Nui (Ilha de Páscoa), um local que há muito é o foco do debate sobre o impacto das mudanças ambientais e climáticas em sua população humana, descobrimos que as populações anteriores eram resistentes aos desafios ambientais e climáticos. Nossas descobertas apoiam um crescente corpo de evidências mostrando comunidades estáveis ​​e sustentáveis ​​na ilha. A estrutura ABC oferece uma nova abordagem para explorar regiões e períodos de tempo em que questões de mudanças culturais e demográficas induzidas pelo clima permanecem sem solução.Nossas descobertas apoiam um crescente corpo de evidências mostrando comunidades estáveis ​​e sustentáveis ​​na ilha. A estrutura ABC oferece uma nova abordagem para explorar regiões e períodos de tempo em que questões de mudanças culturais e demográficas induzidas pelo clima permanecem sem solução.Nossas descobertas apoiam um crescente corpo de evidências mostrando comunidades estáveis ​​e sustentáveis ​​na ilha. A estrutura ABC oferece uma nova abordagem para explorar regiões e períodos de tempo em que questões de mudanças culturais e demográficas induzidas pelo clima permanecem sem solução.

Introdução

Compreender como as populações humanas do passado responderam às mudanças ecológicas e climáticas continua a ser um foco principal nas ciências históricas, por exemplo, 1 , 2 , 3 , 4 , 5 . Embora haja um crescente pool de dados paleoecológicos e paleoclimáticos de alta resolução, reconstruir os padrões paleodemográficos continua a ser um desafio central 6 , 7 , 8 , 9 . Os pesquisadores examinaram vários proxies para reconstruir antigos padrões demográficos 10 , 11 , 12 , 13 , 14, mas o uso de dados de frequência de radiocarbono é atualmente a abordagem mais amplamente usada em arqueologia 15 , 16 , 17 , 18 , 19 , 20 . Apesar dos desafios interpretativos e metodológicos 21 , 22 , 23 , 24 , 25 , a resolução cronológica incomparável e a disponibilidade crescente de grandes coleções de 14As datas C oferecem oportunidades únicas para pesquisas demográficas comparativas. Embora tenha havido vários avanços metodológicos superando muitas das limitações iniciais desta abordagem, duas fraquezas atuais permanecem: (1) meios apropriados de comparação formal de vários modelos e (2) métodos para modelar diretamente os efeitos demográficos das variáveis ​​ambientais. Embora muitos estudos tenham se afastado de simples inspeções visuais de distribuições de probabilidade somadas de datas calibradas (SPD) e tenham se concentrado em testes de significância de hipótese nula 16 , 17, há um interesse crescente em avaliar hipóteses demográficas mais complexas que incorporem variáveis ​​ambientais e climáticas. Aqui, fazemos uma breve revisão dos avanços recentes nesta área de pesquisa e propomos uma solução baseada na Computação Bayesiana Aproximada (ABC), ilustrada com um estudo de caso de Rapa Nui (Ilha de Páscoa).

Vários estudos recentes empregam critérios de informação (IC) para comparar formalmente as hipóteses demográficas contrastantes com os SPDs observados 26 , 27 , 28 , 29 , 30 , 31 , 32. Na maioria dos casos, o procedimento consiste em recuperar o Akaike Information Criterion (AIC) de modelos de regressão ajustados onde a variável de resposta é um vetor de probabilidades somadas e a variável independente é alguma transformação do ano civil correspondente que emula trajetórias de crescimento específicas ou em alguns casos incorpora covariáveis ​​externas adicionais. Essa abordagem, entretanto, (1) trataria incorretamente o número de anos civis na janela de análises como o tamanho da amostra; (2) desconsiderar o efeito de mancha das incertezas calibradas; e (3) ignorar os artefatos sistemáticos no SPD originados do processo de calibração. Como consequência, os parâmetros ajustados da regressão e a probabilidade máxima (a partir da qual os valores AIC são derivados) são estatisticamente tendenciosos e enganosos (ver 22, 33 , 34 para críticas semelhantes e algumas soluções alternativas). Na verdade, é exatamente por essas razões que o teste de simulação baseado em Monte Carlo foi introduzido quase uma década atrás, em primeiro lugar 15 , 16 - para uma dada hipótese candidata (ou seja, modelo de crescimento), deve-se comparar o SPD empírico com uma série de curvas teóricas simuladas que são desenhadas a partir das mesmas distribuições de amostragem e compartilham os mesmos erros de medição (aleatórios e relacionados à calibração) que os dados observados. Segue-se então que precisamos de métodos semelhantes que explicam adequadamente essa incerteza analítica se uma comparação robusta do modelo for buscada.

O desafio é ainda mais exacerbado pelo crescente interesse em vincular as mudanças observadas nas curvas do SPD a proxies paleoambientais com várias técnicas de correlação e comparações diretas, por exemplo, 27 , 32 , 35 , 36 , 37 , 38 , 39 , 40 , 41 , 42 , 43 , 44 . Embora esses estudos ofereçam indicações importantes de associações potenciais entre a população e o clima, houve apenas tentativas limitadas de modelar formalmente o efeito das mudanças climáticas ou ambientais em proxies populacionais baseados no SPD, por exemplo, 15 , 21, 41 , 45 . Os testes de correlação em SPDs podem sofrer de problemas semelhantes aos de comparação de modelos baseados em IC - devido ao tamanho de amostra artificialmente grande inerente à avaliação da mudança anual ao longo de séculos ou milênios, os valores de p podem ser inflados levando ao aparecimento de excesso de confiança na significância de as associações.

Além disso, enquanto os picos e depressões nas curvas SPD, ou desvios de modelos nulos, podem parecer estar correlacionados com eventos paleoambientais, várias questões técnicas não triviais impedem que conclusões simples sejam tiradas de SPDs 'esquisitos'. Em primeiro lugar, a normalização de 14 C 46 , 47 e métodos de calibração de volta, usados ​​para gerar envelopes de simulação para o ajuste de modelo 23 , podem causar picos espúrios no SPD em porções íngremes da curva de calibração de 14 C. No caso de 14Normalização C, distribuições calibradas individualmente são padronizadas para que a densidade de probabilidade posterior seja 1. Na construção de SPDs, a normalização infla os picos causados ​​por porções íngremes da curva de calibração, enquanto datas não normalizadas não possuem esses artefatos 23 , 46 , 47 . Além disso, comparar SPDs empíricos a modelos candidatos requer simular distribuições de datas de radiocarbono consistentes com as expectativas do modelo. Estudos empíricos e de simulação têm mostrado, no entanto, que a escolha de algoritmos pode produzir resultados substancialmente diferentes 23 , 36 , 42 . Embora estudos recentes tenham começado a enfrentar esses desafios metodológicos 33 ,34 , 45 , permanece a necessidade de uma estrutura inferencial que possa formalizar e acomodar hipóteses demográficas mais complexas de interação humano-ambiente. Ao mesmo tempo, precisamos de técnicas robustas para ajuste e comparação de modelos que possam caracterizar adequadamente a incerteza analítica e as propriedades idiossincráticas do registro arqueológico.

Aqui, apresentamos uma solução para esses desafios usando ABC, uma abordagem de modelagem flexível e poderosa originalmente desenvolvida em genética populacional 48 , 49 , mas recentemente aplicada em arqueologia 50 , 51 , 52 , 53 , 54 , incluindo pesquisa paleodemográfica 55 , 56 . Demonstramos como o ABC pode ser usado para integrar diretamente variáveis ​​paleoambientais independentes em modelos demográficos e realizar comparações de vários modelos. Para ilustrar como essa estrutura pode fazer avançar os estudos paleodemográficos, apresentamos uma análise de Rapa Nui (Ilha de Páscoa, Fig.  1), que tem sido um tópico de debate sobre o impacto das mudanças ambientais na população pré-contato da ilha. Nossa abordagem ABC para a paleodemografia baseada em radiocarbono pode ser estendida de forma útil a outras regiões do mundo onde debates semelhantes sobre mudanças populacionais influenciadas pelo ambiente permanecem sem solução.

Fig. 1: Rapa Nui (Ilha de Páscoa) com a localização dos lugares mencionados no texto.
figura 1

Detalhe mostra a localização de Rapa Nui na Polinésia Oriental.

Rapa Nui é uma pequena ilha vulcânica (164 km 2 ) no sudeste da Polinésia (Fig.  1 ). Inicialmente colonizada por viajantes polinésios entre os séculos XII e XIII dC, a ilha é famosa pelas mudanças ambientais que se seguiram à chegada humana, as notáveis ​​realizações de Rapanui na construção megalítica e os debates de longa data em torno dos padrões demográficos anteriores ao contato europeu 57 , 58 . No centro desses debates está a suposição de que o crescimento populacional irrestrito e a degradação ambiental decorrente do desmatamento e cultivo levaram, em última instância, a um colapso demográfico e cultural antes da chegada dos europeus em 1722 dC 59 , 60. Muito da base para esta narrativa provém da suposta incongruência do ambiente marginal da ilha, arquitetura monumental prolífica e pequeno tamanho da população da era do contato, que na época das visitas de holandeses e espanhóis em 1722 e 1770 DC foi estimado como não existindo mais do que alguns milhares 61 , 62 , 63 , 64 , 65 . Rapa Nui, no entanto, já foi coberto por uma extensa floresta de palmeiras que na época do contato com a Europa havia desaparecido em grande parte devido aos impactos do desmatamento para a agricultura e ao invasor rato do Pacífico 66 , 67. A duração e as consequências do desmatamento têm sido debatidas, com muitos defendendo uma catástrofe ecológica em que a rápida remoção da floresta causou erosão generalizada, esgotamento da produtividade do solo, redução da água doce superficial e capacidade de carga reduzida 29 , 60 , 68 , 69 , 70 . Como parte dessas alegações, evidências paleoambientais foram usadas para argumentar a favor de uma mudança demográfica em grande escala no pré-contato Rapa Nui, por exemplo, 70 , 71 .

Estudos paleoambientais recentes também sugerem que mudanças climáticas em grande escala ocorreram em tempos pré-contato. Núcleos de sedimentos do lago Rano Raraku, por exemplo, mostram uma série de hiatos sedimentares dos séculos XV a XVIII, levando alguns a argumentar que os lagos da ilha secaram devido a secas severas eventos 72 , 73 . Esses eventos de seca estão potencialmente associados ao início da Pequena Idade do Gelo ou mudanças no El Niño Oscilação Sul, com uma mudança em direção a valores mais positivos do Índice de Oscilação Sul (IOS) começando no século XV 74 .

Vários estudos tentaram análises em grande escala de datas cronométricas para inferir processos de mudança cultural e demográfica em Rapa Nui. Usando um conjunto de expectativas ad hoc para colapso, Mulrooney 75 simula curvas SPD para continuidade populacional e colapso pré-contato em ca. 1680 DC (a data de colapso convencional). Ela compara esses resultados simulados a um SPD empírico para locais de assentamento e concluiu que os padrões não atenderam às expectativas de um colapso pré-contato. As análises de Stevenson et al. 76 SPD de 428 datas de hidratação de obsidiana de seis contextos interiores e costeiros não sugerem um declínio populacional importante, a partir do qual eles 76concluem que "esta reconstrução temporal da história do uso da terra associada à produção de alimentos argumenta contra a noção de um colapso pré-contato em toda a ilha como um conceito explicativo útil para Rapa Nui." Em um exame da cronologia da construção megalítica, DiNapoli et al. 57 construir gráficos de tempo bayesianos de datas de radiocarbono disponíveis a partir de contextos de plataforma de estátua ( ahu ). Os resultados dessas análises demonstram continuidade na construção de monumentos em tempos pré-contato, ao contrário das alegações comuns de narrativas de colapso 77 .

Em um desafio a essas análises, Lima et al. 29 apresentam uma série de modelos SPD que argumentam demonstrar colapsos demográficos antes da chegada à Europa. Usando datas normalizadas de 14 C e o método de calibração de volta da amostra 23 , Lima et al. 29ajustar um modelo de crescimento linear ao SPD observado e afirmar que os desvios do modelo linear mostram "colapsos populacionais ... em 1430-1550 CE ... e 1640-1700 CE" estatisticamente significativos. Eles também sugerem que os valores de SOI positivos correspondem à precipitação local reduzida que estressou os sistemas de cultivo de sequeiro de Rapa Nui e a água doce superficial disponível. Eles, então, ajustaram quatro modelos de crescimento logístico diretamente ao SPD normalizado, comparando o crescimento logístico simples com três modelos diferentes, incluindo efeitos de mudanças na cobertura de palmeiras estimadas através da prevalência de pólen de palmeira em núcleos de lago, efeitos de mudanças em SOI que refletem as condições gerais de seca / úmida, e uma combinação de cobertura de palma e SOI. Lima et al. em seguida, compare esses ajustes diretos com o SPD normalizado usando IC (AIC e AIC c), a partir do qual afirmam que o modelo logístico que inclui fortes efeitos da redução da cobertura de palmeiras e aumento do SOI se ajusta melhor. Eles argumentam que suas descobertas demonstram que a variabilidade climática e o desmatamento “descrevem a dinâmica da população humana em Rapa Nui muito bem e são capazes de explicar a tendência de aumento, bem como os episódios de declínio populacional que impactaram durante várias gerações, que achamos que podem ser definidos como colapsos demográficos. ”

Várias das escolhas de modelagem de Lima et al. 29 , entretanto, levantam questões sobre a validade de suas conclusões. Sua análise depende da suposição de que a ascensão e queda no SPD normalizado em ca. AD 1500 representa um sinal demográfico preciso. A veracidade dessa suposição não é clara, entretanto, uma vez que eles não examinaram a sensibilidade de seus resultados à normalização de 14 C ou ao procedimento de simulação de calibração reversa. A forma da curva de calibração do hemisfério sul de ca. 1375-1500 DC é íngreme, seguido por um platô e vários 'wiggles' 78 , 79 . Em vez de refletir eventos demográficos, é provável que esse pico seja uma consequência previsível da normalização 23 , 46 ,47 . De maneira crítica, Lima et al. 29 não levam em consideração a curva de calibração e os efeitos do tamanho da amostra ajustando seus modelos diretamente ao SPD normalizado. Como resultado, seus cálculos de máxima verossimilhança, a seleção do modelo de IC derivado e as conclusões são questionáveis. Em vez disso, concluir que ocorreu um colapso pode simplesmente ser explicado como um artefato de seu procedimento analítico. Dadas essas preocupações, ficamos com a questão de como explicar os padrões paleodemográficos em Rapa Nui e como eles podem estar relacionados às mudanças climáticas e ambientais do passado. Aqui, oferecemos uma abordagem ABC que reexamina essas questões e é capaz de explicar melhor as incertezas inerentes às análises do SPD.

Resultados

Reavaliamos a hipótese de que as populações Rapa Nui experimentaram um colapso demográfico ecologicamente induzido 29 . A Figura  2 mostra a curva SPD não normalizada gerada a partir de 201 amostras de radiocarbono de 47 depósitos arqueológicos em Rapa Nui (consulte “Métodos”). A cor da linha reflete as mudanças na cobertura da floresta de palmeiras (Fig.  2a ) e SOI (Fig.  2b) Com base na forma geral da curva SPD não normalizada, pode-se concluir que as populações experimentaram uma tendência de crescimento logístico e que ao longo do tempo houve um declínio correspondente na cobertura de floresta de palmeiras junto com uma mudança de fases SOI negativa para positiva conforme o clima se tornou secador. No entanto, comparações diretas da relação entre as variáveis ​​climáticas e o SPD podem produzir padrões opostos simplesmente usando datas 14 C normalizadas ou não normalizadas (ver Nota Complementar  2 e Fig.  S1 ). Isso confirma ainda mais o perigo dessas comparações diretas e devemos perguntar se há base estatística suficiente para fazer tais afirmações.

Fig. 2: O SPD não normalizado observado calculado com base em 201 classes 1 e 2 datas.
Figura 2

A cor de a mostra mudanças na cobertura da floresta de palmeiras, conforme medido pela abundância de pólen de palmeira, enquanto a cor de b mostra mudanças no SOI. Valores positivos de SOI estão associados a condições mais secas. A linha tracejada vertical marca o momento do contato europeu em 1722 DC.

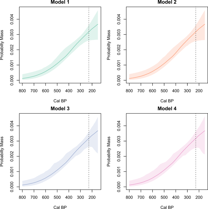
Para avaliar essas interações humano-ambiente, usamos o ABC para ajustar e comparar quatro modelos demográficos com o Rapa Nui SPD. Esses modelos incluem (1) crescimento logístico simples, (2) crescimento logístico com efeito de cobertura de floresta de palmeiras, (3) crescimento logístico com efeito de clima (SOI) e (4) crescimento logístico com cobertura de floresta de palmeiras e efeitos de SOI (ver “Métodos” e notas suplementares 1–11 ). A Tabela  1 mostra a mediana e as estimativas de densidade posterior 90% mais alta (HPD) calculadas para cada parâmetro do modelo com base nas 1000 execuções de melhor ajuste. As verificações das distribuições posteriores da junta não mostram nenhuma correlação entre os parâmetros do modelo (consulte a Nota Complementar  8 e as Figs.  S10 – S25 ). Figura  3compara esses valores de parâmetros ajustados aos padrões demográficos. Os quatro modelos mostram um crescimento populacional constante desde o assentamento inicial da ilha até o contato com a Europa em 1722 DC. Os modelos 1 e 2 sugerem que havia um platô populacional potencial após a chegada dos europeus, enquanto os modelos 3 e 4 mostram um possível declínio após 1722 DC. Verificações preditivas posteriores de os modelos ajustados contra o SPD de Rapa Nui observado são mostrados na Fig.  4 e indicam que o SPD observado está dentro do envelope de simulação para todos os quatro modelos.

Tabela 1 Estimativa da mediana e da densidade posterior 90% mais alta (HPD) para modelos com SPD não normalizado usando o método de calibração de volta sem calculo (consulte “Métodos”). Usar um SPD normalizado e o método calsample produz resultados comparáveis ​​(ver SI).
Fig. 3: Mediana e valores de HPD de 95% para quatro modelos demográficos.
Figura 3

O Modelo 1 é uma curva de crescimento logístico simples, o Modelo 2 é uma curva de crescimento logístico com efeito de cobertura florestal, o Modelo 3 é uma curva de crescimento logístico com efeito climático do SOI e o Modelo 4 é uma curva de crescimento logístico com cobertura de floresta de palmeiras e ENTÃO EU. As áreas coloridas indicam o envelope de 95% HPD. As linhas tracejadas verticais marcam o momento da chegada da Europa em 1722 DC. Observe que o HPD para todos os modelos inclui a possibilidade de um platô demográfico após 1722 DC, os Modelos 3 e 4 incluem a possibilidade de um declínio após o contato com a Europa.

Fig. 4: Verificações preditivas posteriores (PPC) dos quatro modelos ajustados contra o SPD Rapa Nui observado.
figura 4

A linha preta tracejada é o SPD observado. As linhas de cores sólidas e sombreados mostram a mediana e o intervalo PPC de 95% para os modelos ajustados. Observe que o SPD observado está dentro do envelope de simulação de cada modelo e os resultados dos quatro modelos são quase idênticos. As linhas tracejadas verticais marcam o momento da chegada dos europeus em 1722 DC.

Em contraste com as comparações do modelo AIC de Lima et al. 29 mostrando forte suporte para o modelo 4, nossos resultados mostram que os quatro modelos são efetivamente idênticos e fornecem qualidade de ajuste semelhante aos dados, com fatores de Bayes não fornecendo forte suporte para qualquer modelo particular (Tabela  S2 ). As distribuições posteriores dos parâmetros ambientais ( β palm e β SOI ) para os modelos 2–4 também estão centradas em torno de zero com HPDs de 90% razoavelmente amplos que variam entre valores positivos e negativos. A incerteza substancial na distribuição posterior e pequenos fatores de Bayes são provavelmente a consequência de 14Amostra C para Rapa Nui que não é suficiente para discernir entre as hipóteses concorrentes. Esses resultados fornecem conclusões fortemente contrastantes em comparação com as da comparação direta dos proxies ambientais e os SPDs normalizados ou não normalizados observados. A não consideração dos fatores incluídos acima dá resultados conflitantes e enganosos (ver Nota Complementar  2 ).

Discussão

Quando avaliamos as incertezas dos dados de Rapa Nui e daqueles envolvidos nas etapas analíticas, a evidência atual indica que a ilha experimentou um crescimento populacional relativamente estável desde o assentamento humano inicial ca. 800 cal BP até o período seguinte à chegada à Europa. Os “balanços” na curva SPD observada caem todos dentro do envelope de simulação e resultam de detalhes da curva de calibração combinados com erro de amostragem e, mais importante, sinais paleodemográficos não genuínos. Dados esses fatos, não podemos distinguir com segurança entre as quatro hipóteses. Todos os modelos ajustados, entretanto, são consistentes com um padrão de crescimento logístico apenas marginalmente influenciado por mudanças no clima e cobertura florestal. Os amplos HPDs dos parâmetros ambientais sugerem uma gama de possíveis efeitos positivos ou negativos,no entanto, nenhum valor parece forte o suficiente para causar grandes declínios populacionais (Fig. 3 ). Dado o número comparativamente pequeno de datas de radiocarbono, não podemos determinar se nossa incapacidade de discernir entre os modelos concorrentes é a consequência do pequeno tamanho da amostra, o pequeno 'tamanho do efeito' nos modelos 2-4 (ou seja, o desvio absoluto da palma β e β SOI de 0), ou uma combinação de ambos os fatores. No entanto, nenhum dos modelos ajustados suporta a noção de colapso da população pré-contato (Fig.  3 ). Portanto, nossos resultados sugerem que se o desmatamento ou o aumento do SOI tivessem efeitos na ilha, as populações Rapa Nui seriam resilientes a eles. Essas descobertas são apoiadas de forma independente por pesquisas recentes que mostram que a construção de monumentos continuou de forma constante, mesmo após a chegada dos europeus 57 ,77 . Além disso, a pesquisa agora demonstra que o desmatamento foi um processo prolongado, não resultou em erosão catastrófica e que a cobertura da terra foi rapidamente substituída por jardins com cobertura vegetal lítica que aumentaram a produtividade agrícola 66 , 67 , 80 , 81 , 82 , 83 , 84 , 85 . Além disso, embora alguns afirmem que o desmatamento resultou na perda de alimentos 29 , 68 , não há evidências de que as palmeiras fossem um recurso alimentar significativo para os ilhéus 66 , 86. Assim, é mais provável que a perda da floresta de palmeiras representasse uma expansão das oportunidades de cultivo e contribuísse positivamente para o crescimento inicial e resiliência geral da população. Em resumo, não há suporte empírico para a noção de que o desmatamento resultou em fortes impactos negativos sobre a população humana de Rapa Nui.

Nossos resultados também têm implicações para os efeitos das mudanças climáticas na ilha. Rull 71 , 73 afirmou recentemente que as secas induzidas pelo clima causaram uma perturbação social em grande escala, resultando na cessação da construção de monumentos e na migração intra-ilha de assentamentos costeiros para o lago da cratera em Rano Kau. Semelhante a análises anteriores do ritmo de construção de monumentos em torno da ilha 57 , a grande maioria de nossos dados de 14 C derivam de assentamentos costeiros e não mostram declínios na atividade ou sustentam alegações de grandes perturbações induzidas pelo clima devido à seca. Embora as perturbações climáticas pareçam ter levado à dessecação do lago da cratera em Rano Raraku 72, pesquisas recentes sugerem que as populações de Rapa Nui se adaptaram a essas mudanças contando principalmente com as fontes costeiras de água subterrânea 87 , 88 , 89 .

Nossas análises também fornecem informações importantes sobre as propostas demográficas anteriores de Puleston et al. 64 . Em uma série de simulações demográficas hipotéticas com limitação alimentar, Puleston et al. 64 derivaram várias estimativas absolutas para tamanhos populacionais máximos em Rapa Nui pré-contato, que convergiram em dois resultados possíveis amplamente dependentes de suposições de nitrogênio biodisponível para cultivo: um 'cenário de baixo N' com populações máximas de ca. 3500 e um 'cenário de alto N' com populações máximas de ca. 17.500. Porque no momento do contato inicial, os europeus estimaram que a população estava na casa dos milhares 63 , a conclusão de Puleston et al. 64 de 17.500, se correta, logicamente requer um grande declínio demográfico pré-contato 65. Nosso estudo fornece uma resolução para este debate, pois nenhum dos modelos mostra evidências de uma redução significativa na atividade antes da chegada aos europeus, indicando que a estimativa de 64 baixo N de Puleston et al. De ca. 3500 indivíduos é mais consistente com as evidências arqueológicas e históricas. Em uma escala mais ampla, nossos resultados demonstram que os padrões demográficos logísticos em Rapa Nui foram semelhantes aos propostos para outras ilhas da Polinésia, por exemplo, 59 , 90 , 91 , 92 .

Combinado com um crescente corpo de pesquisas recentes, nossas análises demográficas apóiam uma visão emergente de Rapa Nui como um caso de resiliência populacional em face de mudanças ambientais marcantes, por exemplo, 58 , 61 , 62 , 63 , 75 , 76 , 77 , 93 , 94 , 95. Esses resultados apresentam uma história que contrasta com a narrativa popular de eventos catastróficos sequenciais, que inflou as mudanças ambientais como motores negativos de padrões culturais e demográficos. Em vez disso, apesar do isolamento extremo, condições ecológicas marginais e uma série de mudanças ambientais, o povo Rapa Nui encontrou soluções que lhes permitiram prosperar com sucesso na ilha por pelo menos 500 anos antes da chegada dos europeus.

Em resumo, nossas conclusões contrastam fortemente com o estudo de Lima et al. 29 e falsificam as alegações de um declínio populacional antes do contato com a Europa. Vários fatores explicam a divergência entre as conclusões do estudo de Lima et al. 29 e as aqui apresentadas, juntamente com as de estudos anteriores 57 , 75 . Primeiro, o estudo de Lima et al. Não 'bin' corretamente as datas por localização do site. Enquanto amostras no Mulrooney’s 75o conjunto de dados é codificado por 'local', as convenções de nomenclatura de locais arqueológicos geram instâncias em que as datas do mesmo local têm nomes de locais ligeiramente diferentes. Por exemplo, a grande amostra de datas do assentamento Anakena é representada por ~ 15 'locais' no estudo de Lima et al., Quando na verdade todas as datas vêm de escavações dentro ou adjacentes ao local de Ahu Nau Nau. Em segundo lugar, enquanto Lima et al. 29 observam corretamente que amostras de contextos cerimoniais, por exemplo, 57 refletem “a tradição 'ahu moai'” e “não é um processo demográfico”, mas seu estudo incluiu ca. 70 14C data desses contextos que, por sua própria admissão, provavelmente não estão relacionados às mudanças populacionais. Esses dois problemas resultam em uma relação ambígua entre datas e eventos alvo, ao mesmo tempo em que aumentam o tamanho da amostra.

É importante ressaltar que o estudo de Lima et al. Descreve incorretamente os resultados do modelo linear que fornece uma base para a hipótese de colapso de seu estudo 29 . Por meio da escolha de um modelo linear, etapas pelas quais normalizaram os dados de 14 C e confusão sobre os efeitos da curva de calibração, o estudo de Lima et al. 29 interpreta erroneamente a variabilidade no SPD. A ascensão e queda (ou seja, “colapso”) observada em seu estudo entre 1430 e 1550 DC cai inteiramente dentro de um desvio positivo significativo de seu modelo nulo. Dado o impacto conhecido da normalização 14 C nesta parte íngreme da curva de calibração do hemisfério sul 23 , 46 , 47 , 75, 78 , 79 , a população só parece aumentar e diminuir. Além disso, o estudo de Lima et al. Não fornece uma justificativa clara por que o crescimento populacional linear contínuo seria esperado para a pequena ilha de Rapa Nui. Talvez o mais crítico, por não contabilizar adequadamente os efeitos da calibração ou do tamanho da amostra em sua tentativa de ajustar diretamente seus modelos de regressão ao SPD normalizado, o estudo de Lima et al. 29 tratou esses artefatos da curva de calibração como sinais demográficos genuínos. Uma lição importante de Lima et al. 29 O estudo para trabalhos futuros é que, por não reconhecer diferentes formas de incertezas, evitar a avaliação direta dos SPDs não é apenas uma questão de rigor estatístico, mas uma questão que pode levar a afirmações dramaticamente diferentes sobre o passado.

Do ponto de vista metodológico, a abordagem de inferência gerativa fornecida pelo ABC oferece uma solução que aborda a necessidade de avaliar modelos demográficos complexos com rigor estatístico suficiente, ao mesmo tempo que leva em consideração os desafios específicos dos conjuntos de dados de radiocarbono. A principal vantagem da abordagem ABC para o ajuste e comparação do modelo sobre as abordagens recentemente sugeridas 33 , 34 , 45 é a flexibilidade oferecida pela formulação do modelo proposto como uma simulação, um avanço que poderia potencialmente integrar fenômenos mais complexos envolvidos na formação de SPDs, como liquidação dinâmica 96 e preocupações geoarqueológicas, como tafonomia 97 e taxas de sedimentação variáveis 25. Embora o preço para essa flexibilidade sejam os requisitos computacionais relativamente altos, este fator é compensado pelos benefícios obtidos com a caracterização mais completa da incerteza analítica, abrindo oportunidades para testar empiricamente um número crescente de modelos computacionais e, finalmente, melhorar a precisão do processo inferencial em arqueologia.

Métodos

Dados de radiocarbono e paleoambientais

Usamos o conjunto de dados 14 C compilado no Mulrooney 75 junto com as datas 93 , 98 , 99 publicadas recentemente , incluindo todas as determinações de radiocarbono que atendem aos critérios para datas de classe 1 ou 2 por Mulrooney 75 . Seguindo Brown e Crema 90 , restringimos nossa análise a datas com uma associação contextual clara com locais residenciais ou atividades de subsistência para garantir a ligação entre os eventos datados e nossos fenômenos-alvo de demografia passada. As amostras vêm de toda a ilha e derivam de contextos sedimentares semelhantes resultantes de eventos antropogênicos de deposição 75 , cf. 25. Essas etapas resultaram em 201 datas de 47 locais. Calibramos todas as datas terrestres com a curva de calibração 79 do SHCal20 . Todas as datas ósseas foram calibradas com uma curva mista terrestre / marinha com 50% SHcal20 e Marine20 100 seguindo Jarman et al. 93 e uma correção revisada do reservatório marinho local. Existem atualmente dez correções de reservatório marinho local (Δ R ) para a ilha, todas derivadas de amostras de coral de Ovahe, uma pequena baía a leste de Anakena 101 , 102 . Esses valores de Δ R variam de -132 ± 37 a -252 ± 46. Revisamos os valores de Δ R para refletir as atualizações da curva de calibração do Marine20 100. Seguindo os métodos em DiNapoli et al. 103 , calculamos a média ponderada de erro com variância externa adicionada para esses valores de Δ R como sendo -214 ± 16 ( χ 2 9: 0,05  = 11,0 <16,9; = 1,2).

Para examinar os efeitos da normalização do 14 C nas interpretações demográficas, geramos duas curvas SPD para o período de 800-150 BP com datas normalizadas e não normalizadas. Para contabilizar a determinação e o viés de riqueza 34 , as datas do mesmo local e dentro de uma distância temporal de 50 anos foram combinadas em caixas. Para examinar possíveis vieses tafonômicos, aplicamos a correção sugerida por Surovell et al. 104 para o SPD normalizado e não normalizado, o que não resulta em uma diferença observável nos SPDs (Fig.  S2 ). Nós interpolamos dados de séries temporais sobre mudanças na cobertura florestal usando contagens de pólen de palmeira de núcleos paleoambientais de sedimentos do lago Rano Raraku 72e reconstruções SOI de Yan et al. 74 , os mesmos conjuntos de dados subjacentes às análises de Lima et al. 29 .

Modelos demográficos

Dado o pequeno tamanho de Rapa Nui, assumimos que o crescimento populacional na ilha seguiu alguma forma de padrão logístico. Seguindo Lima et al. 29 , construímos quatro modelos demográficos com a seguinte estrutura geral:

(1)

onde é o tamanho da população, é o tempo e é a taxa de crescimento intrínseca e é a capacidade de suporte. Os quatro modelos são distinguidos pelos parâmetros e covariáveis ​​da definição do modelo linear :

(2)

onde é a cobertura florestal, é a reconstrução do clima SOI e β palm e β SOI são parâmetros do modelo. O modelo 1 tem todos os parâmetros iguais a zero e corresponde a um modelo de crescimento logístico simples com capacidade de suporte igual a 1. O segundo e o terceiro modelos logísticos incorporam a cobertura da palma (definindo β SOI  = 0) ou o índice SOI (definindo β palm  = 0) individualmente, enquanto o quarto modelo explora o impacto de ambas as covariáveis ​​externas.

Computação Bayesiana aproximada para modelagem SPD

Nossa abordagem ABC para modelagem SPD baseia-se no trabalho recente de Porčić 56 , segue procedimentos padrão usados ​​em outros campos, por exemplo, 105 , 106 , e envolve as seguintes etapas: (1) definir as distribuições anteriores dos parâmetros do modelo demográfico; (2) amostra ncombinações de parâmetros das distribuições anteriores; (3) definir o SPD alvo por meio de desbaste aleatório; (4) simular SPDs de cada combinação; (5) comparar a qualidade do ajuste entre cada SPDs simulado e observado usando alguma medida de distância ε (por exemplo, distância euclidiana); (6) rejeitar parametrizações que se desviem de um valor de corte definido pelo usuário para a medida de distância. O resultado dessas etapas é uma distribuição posterior conjunta aproximada de valores de parâmetros mais consistentes com o conjunto de dados de radiocarbono observado. Em seguida, comparamos o ajuste dos modelos usando fatores de Bayes aproximados, calculados a partir da proporção relativa dos quatro modelos no conjunto não rejeitado.

A suposição básica das chamadas datas como abordagem de dados 107 pode ser formalizada da seguinte forma:

(3)

onde é a probabilidade de amostrar uma data de radiocarbono do tempo calendário . Para um determinado modelo e valores de parâmetro, isso é obtido calculando o vetor de tamanhos de população e dividindo cada um de seus valores pela soma de todos os tamanhos de população dentro da janela de análise e configuração o tamanho inicial da população como o parâmetro , que pode ser interpretado como a proporção da capacidade de suporte para o modelo de linha de base (ou seja, quando β SOI  =  β palm  = 0). Assim, nosso arcabouço gerador central consiste em amostrar datas de radiocarbono usando o vetor . Seguindo Crema e Bevan

23 , usamos dois algoritmos diferentes ( calsample e não salample ) para transformar o vetorem um vetor de probabilidades naidade de 14 C. Enquanto que em outros contextos, a duas abordagens diferentes rendimentos resultados (com uncalsample recuperação com mais precisão os picos artificiais típicos de alguns DUP observados), os nossos resultados não fornecem quaisquer diferenças qualitativas (ver  suplementar Notas 4 e 7 - 11 ).

 

As principais etapas de nossa abordagem ABC são resumidas da seguinte forma:

Etapa 1: As distribuições anteriores para cada um de nossos modelos demográficos são mostradas na Tabela  S1 . O tamanho da população inicial, N t = 0 , é truncado para um limite superior de 1 para especificar que assumimos que o tamanho da população da ilha a 800 cal BP está abaixo da capacidade de suporte. Assumimos uma taxa de crescimento intrínseca positiva com uma magnitude conservadora que garante que metade dos sorteios estejam abaixo de uma taxa de ca. 0,01. Dados os debates em andamento sobre os impactos potenciais das mudanças na cobertura florestal e SOI na capacidade de suporte da ilha, as distribuições anteriores para o coeficiente de palmas, β palma , e o coeficiente SOI β SOIpode assumir uma variedade de valores positivos e negativos. O benefício desses antecedentes relativamente planos é que o algoritmo de rejeição ABC selecionará os valores dos parâmetros que são mais consistentes com os padrões SPD empíricos. As combinações de parâmetros anteriores para cada modelo são avaliadas visualmente por meio de verificações preditivas anteriores (Fig.  S4 ).

Etapa 2: Amostramos 250.000 combinações de parâmetros das distribuições anteriores de cada um de nossos quatro modelos.

Etapa 3: Amostramos uma única data de radiocarbono de cada compartimento temporal e geramos um SPD alvo por meio de soma e calculamos a proporção de datas que foram calibradas usando SHCal20 e a curva de calibração mista SHCal20 / Marine20.

Etapa 4: Geramos um vetor de tamanhos de população para cada i ésima combinação de parâmetros usando Eqs.  1 e 2 , e obteve um vetor de probabilidades seguindo o procedimento descrito acima (ver Fig.  S3 para um diagrama deste processo). Em seguida, amostramos 110 datas de radiocarbono (correspondendo ao número de caixas ) que são designadas aleatoriamente a um termo de erro por reamostragem dos erros 14 C observados , calibramos cada data e geramos um SPD i

. Para avaliar a sensibilidade a vários algoritmos e suposições na literatura, nós amostramos datas de radiocarbono usando os algoritmos calsample e uncalsample e calibramos as datas com e sem normalização. Calsample refere-se ao procedimento em que as datas são simuladas a partir do modelo nulo no tempo do calendário e, em seguida, calibradas novamente, enquanto que no método não- amostral todo o modelo nulo é calibrado retroativamente , ponderado com base em um modelo uniforme e, em seguida, amostrado a partir de 23 . Assim, para cada combinação de parâmetros, geramos quatro SPDs dependendo da combinação desses procedimentos. Não identificamos quaisquer diferenças qualitativas entre essas diferentes combinações de algoritmos para o presente estudo (ver Notas Suplementares  4 e 7 - 11 ). Tanto o procedimento de amostragem quanto o processo de calibração foram realizados usando SHCal20 e as curvas SHCal20 / Marine20 mistas com base nas proporções obtidas durante a Etapa 3.

Etapa 5: Em seguida, comparamos o ajuste entre cada SPD i simulado e o SPD observado usando duas medidas de erro ε , distância euclidiana e erro quadrático médio normalizado (ver nota complementar  6 ). Para garantir a comparabilidade entre SPDs candidatos e observados, geramos o último em cada i- ésima iteração por amostragem aleatória de uma data do calendário dentro de cada bin antes da soma.

Etapa 6: Obtemos distribuições posteriores dos parâmetros do nosso modelo selecionando as combinações que produzem os 1000 valores ε mais baixos para cada modelo. Da mesma forma, comparamos o ajuste relativo de todos os modelos combinando todos os valores ε e selecionando os 1000 valores ε mais baixos entre os quatro modelos. As proporções relativas dos modelos 1–4 neste conjunto de 1000 modelos de melhor ajuste são então usadas para calcular fatores de Bayes aproximados, que fornecem uma estimativa do peso relativo da evidência a favor de um modelo em relação a outro.

Etapa 6: avaliamos ainda mais a qualidade de ajuste absoluta entre nossos quatro modelos e os SPDs observados por verificações preditivas posteriores. Esta etapa consiste na comparação visual dos SPDs observados e um envelope gerado a partir do intervalo do 95º percentil dos valores SPD previstos para cada ano civil com base nas 100 combinações de parâmetros de melhor ajuste. Todas as nossas análises são conduzidas em R versão 4.0.3 108 usando o pacote rcarbon 23 . Código totalmente reproduzível, junto com um aplicativo Shiny para explorar a dinâmica dos modelos, pode ser encontrado em https://github.com/rdinapoli/RN_demography

Resumo do relatório

Mais informações sobre o desenho da pesquisa estão disponíveis no  Nature Research Reporting Summary vinculado a este artigo.

Disponibilidade de dados

Todos os dados necessários para reproduzir essas análises estão disponíveis em https://github.com/rdinapoli/RN_demography e 10.5281 / zenodo.4883617

Disponibilidade de código

Todos os códigos necessários para reproduzir essas análises estão disponíveis em https://github.com/rdinapoli/RN_demography e 10.5281 / zenodo.4883617

Referências

  1. 1

    deMenocal, PB & Stringer, C. Clima e o povoamento do mundo. Nature 538 , 49–50 (2016).

    PUBLICIDADES  CAS  PubMed  Artigo  PubMed Central  Google Scholar 

  2. 2

    Pisor, AC & Jones, JH Adaptação humana às mudanças climáticas: uma introdução à edição especial. Sou. J. Hum. Biol. n / a , e23530 (2020).

  3. 3

    Rick, TC & Sandweiss, DH Arqueologia, clima e mudanças globais na Era dos Humanos. PNAS 117 , 8250-8253 (2020).

    CAS  PubMed  PubMed Central  Artigo  Google Scholar 

  4. 4

    Shennan, S. & Sear, R. Arqueologia, demografia e teoria da história de vida juntas podem nos ajudar a explicar os padrões populacionais do passado e do presente. Philos. Trans. R. Soc. B: Biol. Sci. 376 , 20190711 (2021).

    CAS  Artigo  Google Scholar 

  5. 5

    Boivin, N. & Crowther, A. Mobilizando o passado para moldar um Antropoceno melhor. Nat. Ecol. Evolution 5 , 273–284 (2021).

    Artigo  Google Scholar 

  6. 6

    Bocquet ‐ Appel, J. Recent Advances in Paleodemography (Springer, Dordrecht, 2008).

  7. 7

    Chamberlain, AT Demografia em Arqueologia (Cambridge University Press, 2006).

  8. 8

    Drennan, RD, Berrey, CA e Peterson, CE Regional Settlement Demography in Archaeology (Eliot Werner Publications, 2015).

  9. 9

    Kintigh, KW et al. Grandes desafios para a arqueologia. PNAS 111 , 879–880 (2014).

    PUBLICIDADES  CAS  PubMed  PubMed Central  Artigo  Google Scholar 

  10. 10

    Bocquet ‐ Appel, J. Paleoanthropological traces of a neolithic demographic transição. Curr. Anthropol. 43 , 637–650 (2002).

    Artigo  Google Scholar 

  11. 11

    Crema, ER & Kobayashi, K. Uma inferência multi-proxy da dinâmica populacional de Jōmon usando modelos de fase bayesiana, dados residenciais e distribuição de probabilidade somada de datas 14C. J. Archaeol. Sci. 117 , 105136 (2020).

    Artigo  Google Scholar 

  12. 12

    Schmidt, I. et al. Abordando a demografia pré-histórica: proxies, escalas e escopo do Protocolo de Colônia em contextos europeus. Philos. Trans. R. Soc. B: Biol. Sci. 376 , 20190714 (2021).

    Artigo  Google Scholar 

  13. 13

    Schiffels, S. & Durbin, R. Inferindo o tamanho da população humana e a história de separação de múltiplas sequências de genoma. Nat. Genet. 46 , 919–925 (2014).

    CAS  PubMed  PubMed Central  Artigo  Google Scholar 

  14. 14

    White, AJ et al. Uma avaliação de estanóis fecais como indicadores de mudança populacional em Cahokia, Illinois. J. Archaeol. Sci. 93 , 129–134 (2018).

    CAS  Artigo  Google Scholar 

  15. 15

    Shennan, S. et al. O colapso da população regional seguiu-se aos booms agrícolas iniciais na Europa em meados do Holoceno. Nat. Comum. 4 , 1–8 (2013).

    PUBLICIDADES  Artigo  CAS  Google Scholar 

  16. 16

    Timpson, A. et al. Reconstruindo as flutuações populacionais regionais no Neolítico europeu usando datas de radiocarbono: um novo estudo de caso usando um método melhorado. J. Archaeol. Sci. 52 , 549–557 (2014).

    Artigo  Google Scholar 

  17. 17

    Crema, ER, Habu, J., Kobayashi, K. & Madella, M. A distribuição de probabilidade somada de datas 14 C sugere divergências regionais na dinâmica populacional do período jomon no Japão oriental. PLoS ONE 11 , e0154809 (2016).

    PubMed  PubMed Central  Artigo  CAS  Google Scholar 

  18. 18

    Crema, ER, Bevan, A. & Shennan, S. Spatio-temporal aproximações para datas arqueológicas de radiocarbono. J. Archaeol. Sci. 87 , 1-9 (2017).

    CAS  Artigo  Google Scholar 

  19. 19

    Chaput, MA & Gajewski, K. Data de radiocarbono como estimativa do tamanho da população humana antiga. Anthropocene 15 , 3-12 (2016).

    Artigo  Google Scholar 

  20. 20

    Carleton, WC Avaliando modelos Bayesian Radiocarbon-dated Event Count (REC) para o estudo de processos humanos e ambientais de longo prazo. Journal of Quaternary Science 36 , 110-123 (2021).

  21. 21

    Brown, WA O passado e o futuro da estimativa da taxa de crescimento na análise da frequência temporal demográfica: interpretabilidade biodemográfica e a ascensão dos modelos de crescimento dinâmico. J. Archaeol. Sci. 80 , 96–108 (2017).

    Artigo  Google Scholar 

  22. 22

    Carleton, WC & Groucutt, HS Sum As coisas não são o que parecem: problemas com interpretações pontuais e análises quantitativas de proxies com base em datas de radiocarbono agregadas. Holocene 0959683620981700. https://doi.org/10.1177/0959683620981700 (2020).

  23. 23

    Crema, ER & Bevan, A. Inferência de grandes conjuntos de datas de radiocarbono: software e métodos. Radiocarbon 63 , 23–39 (2021).

    Artigo  Google Scholar 

  24. 24

    Williams, AN O uso de distribuições de probabilidade de radiocarbono somadas em arqueologia: uma revisão dos métodos. J. Archaeol. Sci. 39 , 578–589 (2012).

    Artigo  Google Scholar 

  25. 25

    Ward, I. & Larcombe, P. Desconhecidas sedimentares restringem o uso atual da análise de frequência de conjuntos de dados de radiocarbono na formação de modelos regionais de mudança demográfica. Geoarchaeology 36 , 546–570 (2021).

    Artigo  Google Scholar 

  26. 26

    de Souza, JG & Riris, P. Transição demográfica retardada após a adoção de plantas cultivadas no leste da Bacia do Prata e costa atlântica, América do Sul. J. Archaeol. Sci. 125 , 105293 (2021).

    Artigo  Google Scholar 

  27. 27

    Fernández-López de Pablo, J. et al. A modelagem paleodemográfica suporta um gargalo populacional durante a transição Pleistoceno-Holoceno na Península Ibérica. Nat. Comum. 10 , 1872 (2019).

    PUBLICIDADES  PubMed  PubMed Central  Artigo  CAS  Google Scholar 

  28. 28

    Goldberg, A., Mychajliw, AM & Hadly, EA Demografia pós-invasão de humanos pré-históricos na América do Sul. Nature 532 , 232–235 (2016).

    PUBLICIDADES  CAS  PubMed  Artigo  Google Scholar 

  29. 29

    Lima, M. et al. Ecologia do colapso da sociedade Rapa Nui. Proc. R. Soc. B: Biol. Sci. 287 , 20200662 (2020).

    CAS  Artigo  Google Scholar 

  30. 30

    Prates, L., Politis, GG & Perez, SI Radiação rápida de humanos na América do Sul após o último máximo glacial: um estudo baseado em radiocarbono. PLoS ONE 15 , e0236023 (2020).

    CAS  PubMed  PubMed Central  Artigo  Google Scholar 

  31. 31

    Riris, P. Datas como dados revisitados: um exame estatístico do registro de radiocarbono pré-cerâmico peruano. J. Archaeol. Sci. 97 , 67–76 (2018).

    Artigo  Google Scholar 

  32. 32

    Riris, P. & Arroyo-Kalin, M. O declínio generalizado da população na América do Sul se correlaciona com a mudança climática do Holoceno médio. Sci. Rep. 9 , 6850 (2019).

    PUBLICIDADES  PubMed  PubMed Central  Artigo  CAS  Google Scholar 

  33. 33

    Crema, ER & Shoda, S. Uma abordagem Bayesiana para ajustar e comparar modelos de crescimento demográfico de datas de radiocarbono: Um estudo de caso sobre a transição Jomon-Yayoi em Kyushu (Japão). PLOS ONE 16, e0251695 (2021).

  34. 34

    Timpson, A., Barberena, R., Thomas, MG, Méndez, C. & Manning, K. Modelando diretamente a dinâmica populacional na Diagonal Árida da América do Sul usando datas 14 C. Philos. Trans. R. Soc. B: Biol. Sci. 376 , 20190723 (2021).

    CAS  Artigo  Google Scholar 

  35. 35

    Bernabeu Aubán, J., García Puchol, O., Barton, M., McClure, S. & Pardo Gordó, S. Datas de radiocarbono, eventos climáticos e dinâmica social durante o Neolítico Inferior na Península Ibérica mediterrânea. Quat. Int. 403 , 201-210 (2016).

    Artigo  Google Scholar 

  36. 36

    Bevan, A. et al. As flutuações do Holoceno na população humana demonstram ligações repetidas com a produção de alimentos e o clima. Proc. Natl Acad. Sci. USA 114 , E10524 – E10531 (2017).

    CAS  PubMed  PubMed Central  Artigo  Google Scholar 

  37. 37

    Bird, D. et al. Uma primeira análise empírica da estabilidade da população na América do Norte usando registros de radiocarbono. Holocene 30 , 1345–1359 (2020).

    PUBLICIDADES  Artigo  Google Scholar 

  38. 38

    Capuzzo, G., Zanon, M., Corso, MD, Kirleis, W. & Barceló, JA Dinâmica populacional altamente diversificada da Idade do Bronze no Centro-Sul da Europa e sua resposta aos padrões climáticos regionais. PLoS ONE 13 , e0200709 (2018).

    PubMed  PubMed Central  Artigo  CAS  Google Scholar 

  39. 39

    de Souza, JG et al. Mudanças climáticas e resiliência cultural na Amazônia pré-colombiana tardia. Nat. Ecol. Evol. 3 , 1007–1017 (2019).

    PubMed  Artigo  Google Scholar 

  40. 40

    Jørgensen, EK A dinâmica paleodemográfica e ambiental do Ártico pré-histórico da Noruega: uma visão geral da covariação humano-clima. Quat. Int. 549 , 36–51 (2020).

    Artigo  Google Scholar 

  41. 41

    Kelly, RL, Surovell, TA, Shuman, BN & Smith, GM Um impacto climático contínuo na população humana do Holoceno nas Montanhas Rochosas. PNAS 110 , 443–447 (2013).

    PUBLICIDADES  CAS  PubMed  Artigo  PubMed Central  Google Scholar 

  42. 42

    Roberts, N. et al. Respostas humanas e não respostas às variações climáticas durante a última transição glacial-interglacial no Mediterrâneo oriental. Quat. Sci. Rev. 184 , 47–67 (2018).

    PUBLICIDADES  Artigo  Google Scholar 

  43. 43

    Wang, C., Lu, H., Zhang, J., Gu, Z. & He, K. As flutuações demográficas pré-históricas na China inferiram de dados de radiocarbono e sua ligação com as mudanças climáticas nos últimos 50.000 anos. Quat. Sci. Rev. 98 , 45–59 (2014).

    PUBLICIDADES  Artigo  Google Scholar 

  44. 44

    Warden, L. et al. Mudanças demográficas e culturais humanas induzidas pelo clima no norte da Europa durante o Holoceno médio. Sci. Rep. 7 , 15251 (2017).

    PUBLICIDADES  CAS  PubMed  PubMed Central  Artigo  Google Scholar 

  45. 45

    Stewart, M., Carleton, WC & Groucutt, HS Mudanças climáticas, não o crescimento da população humana, correlaciona-se com o declínio da megafauna do Quaternário Tardio na América do Norte. Nat. Comum. 12 , 965 (2021).

    PUBLICIDADES  CAS  PubMed  PubMed Central  Artigo  Google Scholar 

  46. 46

    Weninger, B., Clare, L., Jöris, O., Jung, R. & Edinborough, K. Quantum theory of radiocarbon calibração. World Archaeol. 47 , 543–566 (2015).

    Artigo  Google Scholar 

  47. 47

    Weninger, B. & Edinborough, K. Bayesian 14C-racionalidade, incerteza de Heisenberg e Transformada de Fourier: a beleza da calibração de radiocarbono. Doc. Praehist. 47 , 536–559 (2020).

    Artigo  Google Scholar 

  48. 48

    Tavaré, S., Balding, DJ, Griffiths, RC & Donnelly, P. Inferring coalescence times from DNA sequence data. Genetics 145 , 505-518 (1997).

    PubMed  PubMed Central  Artigo  Google Scholar 

  49. 49.

    Beaumont, MA, Zhang, W. & Balding, DJ Computação Bayesiana aproximada na população. Genet. Genet. 162 , 2025–2035 (2002).

    Google Scholar 

  50. 50

    Carrignon, S., Brughmans, T. & Romanowska, I. Comércio de talheres no Oriente romano: explorando a transmissão cultural e econômica com modelagem baseada em agentes e computação bayesiana aproximada. PLoS ONE 15 , e0240414 (2020).

    CAS  PubMed  PubMed Central  Artigo  Google Scholar 

  51. 51

    Crema, ER, Edinborough, K., Kerig, T. & Shennan, SJ Uma abordagem de computação bayesiana aproximada para inferir padrões de mudança evolutiva cultural. J. Archaeol. Sci. 50 , 160-170 (2014).

    Artigo  Google Scholar 

  52. 52

    Crema, ER, Kandler, A. & Shennan, S. Padrões reveladores de transmissão cultural de dados de frequência: suposições de equilíbrio e não-equilíbrio. Sci. Rep. 6 , 39122 (2016).

    PUBLICIDADES  CAS  PubMed  PubMed Central  Artigo  Google Scholar 

  53. 53

    Rubio-Campillo, X. Seleção de modelos em pesquisa histórica usando computação bayesiana aproximada. PLoS ONE 11 , e0146491 (2016).

    PubMed  PubMed Central  Artigo  CAS  Google Scholar 

  54. 54

    Tsutaya, T., Shimomi, A., Fujisawa, S., Katayama, K. & Yoneda, M. Evidência isotópica de amamentação e práticas de desmame em uma população de caçadores-coletores durante o período Jomon Tardio / Final no Japão oriental. J. Archaeol. Sci. 76 , 70-78 (2016).

    CAS  Artigo  Google Scholar 

  55. 55

    Porčić, M. & Nikolić, M. A abordagem da Computação Bayesiana Aproximada para reconstruir a dinâmica e o tamanho da população a partir de dados de assentamento: demografia da transição Mesolítico-Neolítico em Lepenski Vir. Archaeol. Anthropol. Sci. 1-18. https://doi.org/10.1007/s12520-014-0223-2 (2015).

  56. 56

    Porčić, M., Blagojević, T., Pendić, J. & Stefanović, S. A Transição Demográfica Neolítica nos Balcãs Centrais: reconstrução da dinâmica populacional com base em novas evidências de radiocarbono. Philos. Trans. R. Soc. B: Biol. Sci. 376 , 20190712 (2021).

    Artigo  CAS  Google Scholar 

  57. 57

    DiNapoli, RJ, Rieth, TM, Lipo, CP & Hunt, TL Uma abordagem baseada em modelos para o ritmo do “colapso”: O caso de Rapa Nui (Ilha de Páscoa). J. Archaeol. Sci. 116 , 105094 (2020).

    Artigo  Google Scholar 

  58. 58

    Hunt, TL & Lipo, C. A Arqueologia de Rapa Nui (Ilha de Páscoa). no The Oxford Handbook of Prehistoric Oceania (eds. Cochrane, EE & Hunt, TL) 416-449 (Oxford University Press, 2018).

  59. 59.

    Kirch, PV The Evolution of Polynesian Chiefdoms (Cambridge University Press, 1984).

  60. 60

    Ponting, C. Uma História Verde do Mundo: O Meio Ambiente e o Colapso das Grandes Civilizações . (St. Martin's Press, 1991).

  61. 61

    Boersema, JJ The Survival of Easter Island: Dwindling Resources and Cultural Resilience (Cambridge University Press, 2015).

  62. 62

    Boersema, JJ Um paraíso terrestre? Ilha de Páscoa (Rapa Nui) vista pelos exploradores europeus do século XVIII. em Cultural and Environmental Change on Rapa Nui (eds. Haoa Cardinali, S. et al.) 157-178 (Routledge, 2018).

  63. 63

    Boersema, JJ & Huele, R. Pondering o número da população do Passado da Ilha de Páscoa. na Ilha de Páscoa e no Pacífico: Dinâmicas Culturais e Ambientais. In Proc 9th International Conference on Easter Island and the Pacific, realizada no Ethnological Museum, Berlin, Germany (eds. Vogt, B. et al.) 83–92 (Rapa Nui Press, 2019).

  64. 64

    Puleston, CO et al. Chuva, sol, solo e suor: uma consideração sobre os limites populacionais em Rapa Nui (Ilha de Páscoa) antes do contato europeu. Frente. Ecol. Evol. 5 , 1-14 (2017).

    Artigo  Google Scholar 

  65. 65

    Lipo, CP, DiNapoli, RJ & Hunt, TL Comentário: chuva, sol, solo e suor: uma consideração sobre os limites populacionais em Rapa Nui (Ilha de Páscoa) antes do contato europeu. Frente. Ecol. Evol . 25 , 1-3 (2018).

  66. 66

    Hunt, TL Repensando a catástrofe ecológica da Ilha de Páscoa. J. Archaeol. Sci. 34 , 485–502 (2007).

    Artigo  Google Scholar 

  67. 67

    Rull, V. O desmatamento da Ilha de Páscoa. Biol. Rev. 95 , 124-141 (2020).

    Artigo  Google Scholar 

  68. 68

    Brandt, G. & Merico, A. O lento desaparecimento da Ilha de Páscoa: insights de uma investigação de modelagem. Frente. Ecol. Evol . 13 , 1-12 (2015).

  69. 69

    Diamond, J. Collapse: How Societies Choose to Fail or Succeed (Viking, 2005).

  70. 70

    Bahn, P. & Flenley, J. Easter Island , Earth Island: the Enigmas of Rapa Nui (Rowman & Littlefield, 2017).

  71. 71

    Rull, V. Motores naturais e antropogênicos da mudança cultural na Ilha de Páscoa: revisão e novos insights. Quat. Sci. Rev. 150 , 31–41 (2016).

    PUBLICIDADES  Artigo  Google Scholar 

  72. 72

    Cañellas-Boltà, N. et al. Mudanças na vegetação e ocupação humana da Ilha de Páscoa durante os últimos milênios: um estudo multiproxy dos sedimentos do Lago Raraku. Quat. Sci. Rev. 72 , 36–48 (2013).

    PUBLICIDADES  Artigo  Google Scholar 

  73. 73

    Rull, V. Seca, disponibilidade de água doce e resiliência cultural na Ilha de Páscoa (SE Pacífico) durante a Pequena Idade do Gelo. Holoceno. https://doi.org/10.1177/0959683619895587 (2020).

  74. 74

    Yan, H. et al. Um registro do Índice de Oscilação Sul para os últimos 2.000 anos a partir de proxies de precipitação. Nat. Geosci. 4 , 611–614 (2011).

    PUBLICIDADES  CAS  Artigo  Google Scholar 

  75. 75

    Mulrooney, MA Uma avaliação de toda a ilha da cronologia de assentamento e uso da terra em Rapa Nui (Ilha de Páscoa) com base em dados de radiocarbono. J. Archaeol. Sci. 40 , 4377–4399 (2013).

    Artigo  Google Scholar 

  76. 76

    Stevenson, CM et al. A variação no uso da terra em Rapa Nui (Ilha de Páscoa) indica picos de produção e população antes do contato com a Europa. Proc. Natl Acad. Sci. USA 112 , 1025–1030 (2015).

    PUBLICIDADES  CAS  PubMed  PubMed Central  Artigo  Google Scholar 

  77. 77

    DiNapoli, RJ, Lipo, CP & Hunt, TL Revisitando a guerra, a destruição de monumentos e a fase 'Huri Moai' na história da cultura de Rapa Nui (Ilha de Páscoa). Journal of Pacific Archaeology 12 , 1-24 (2021).

  78. 78

    Hogg, AG et al. Calibração SHCal13 do hemisfério sul, 0–50.000 anos cal BP. Radiocarbon 55 , 1889–1903 (2013).

    CAS  Artigo  Google Scholar 

  79. 79

    Hogg, AG et al. Calibração SHCal20 para o hemisfério sul, 0–55.000 anos cal BP. Radiocarbon 62 , 759-778 (2020).

    CAS  Artigo  Google Scholar 

  80. 80

    Bork, H.-R., Mieth, A. & Tschochner, B. Nothing but stones? Uma revisão da extensão e dos esforços técnicos de cobertura morta de pedra pré-histórica em Rapa Nui. Rapa Nui J. 18 , 10–14 (2004).

    Google Scholar 

  81. 81

    Ladefoged, TN et al. Análise de nutrientes do solo na jardinagem de Rapa Nui. Archaeol. Oceano. 45 , 80–85 (2010).

    Artigo  Google Scholar 

  82. 82

    Ladefoged, TN, Flaws, A. & Stevenson, CM A distribuição de jardins de pedras em Rapa Nui (Ilha de Páscoa) conforme determinado a partir de imagens de satélite. J. Archaeol. Sci. 40 , 1203–1212 (2013).

    Artigo  Google Scholar 

  83. 83

    Mieth, A. & Bork, HR História, origem e extensão da erosão do solo na Ilha de Páscoa (Rapa Nui). Catena 63 , 244–260 (2005).

    Artigo  Google Scholar 

  84. 84

    Stevenson, CM, Jackson, TL, Mieth, A., Bork, H.-R. & Ladefoged, TN Agricultura pré-histórica e histórica inicial em Maunga Orito, Ilha de Páscoa (Rapa Nui), Chile. Antiquity 80 , 919–936 (2006).

    Artigo  Google Scholar 

  85. 85

    Wozniak, JA Estratégias de subsistência em Rapa Nui (Ilha de Páscoa): práticas pré-históricas de jardinagem em Rapa Nui e como elas se relacionam com as práticas agrícolas atuais. em Cultural and Environmental Change on Rapa Nui (eds. Haoa-Cardinali, S. et al.) 87-112 (Routledge, 2018).

  86. 86

    Tromp, M. & Dudgeon, JV Diferenciando microfósseis dietéticos e não dietéticos extraídos do cálculo dentário humano: a importância da batata-doce para a dieta antiga em Rapa Nui. J. Archaeol. Sci. 54 , 54–63 (2015).

    Artigo  Google Scholar 

  87. 87

    Brosnan, T., Becker, MW & Lipo, CP Descarga de águas subterrâneas costeiras e os antigos habitantes de Rapa Nui (Ilha de Páscoa), Chile. Hydrogeol. J. 27 , 519–534 (2019).

    PUBLICIDADES  CAS  Artigo  Google Scholar 

  88. 88

    DiNapoli, RJ et al. Localização do monumento (ahu) de Rapa Nui (Ilha de Páscoa) explicada por fontes de água doce. PLoS ONE 14 , e0210409 (2019).

    CAS  PubMed  PubMed Central  Artigo  Google Scholar 

  89. 89

    Hixon, S., DiNapoli, RJ, Lipo, CP & Hunt, TL A etno-história do uso de água doce em Rapa Nui (Ilha de Páscoa, Chile). J. Polynesian Soc. 128 , 163–189 (2019).

    Artigo  Google Scholar 

  90. 90

    Brown, AA & Crema, ER Crescimento populacional de Māori na Nova Zelândia pré-contato: dinâmica populacional regional inferida de distribuições de probabilidade somadas de datas de radiocarbono. J. Isl. Costa. Archaeol. 0 , 1-19 (2019).

    Google Scholar 

  91. 91

    McFadden, C., Walter, R., Buckley, H. & Oxenham, MF Temporal trends in the Colonization of the Pacific: Paleodemographic Insights. J. World Prehist. https://doi.org/10.1007/s10963-021-09152-w (2021).

    Artigo  Google Scholar 

  92. 92

    Kirch, PV & Rallu, J.-L. O crescimento e o colapso das sociedades das ilhas do Pacífico: perspectivas arqueológicas e demográficas. (University of Hawai'i Press, 2007).

  93. 93

    Jarman, CL et al. A dieta da população pré-histórica de Rapa Nui (Ilha de Páscoa, Chile) mostra adaptação ambiental e resiliência. Sou. J. Phys. Anthropol. 164 , 343-361 (2017).

    PubMed  PubMed Central  Artigo  Google Scholar 

  94. 94

    Sherwood, SC et al. Novas escavações na pedreira de estátuas da Ilha de Páscoa: fertilidade do solo, formação do local e cronologia. J. Archaeological Sci. 111 , 104994 (2019).

    Artigo  Google Scholar 

  95. 95

    Simpson, DF Jr. & Dussubieux, L. Uma narrativa colapsada? A geoquímica e a distribuição espacial de pedreiras de basalto e artefatos de granulação fina revelam o uso comum de pedra em Rapa Nui (Ilha de Páscoa). J. Archaeol. Sci .: Rep. 18 , 370–385 (2018).

    Google Scholar 

  96. 96

    Bevan, A. & Crema, ER Problemas modificáveis ​​da unidade de relatório e séries temporais de atividade humana de longo prazo. Philos. Trans. R. Soc. B: Biol. Sci. 376 , 20190726 (2021).

    CAS  Artigo  Google Scholar 

  97. 97

    Davies, B., Holdaway, SJ & Fanning, PC Modeling the palimpsest: a exploratory agent-based model da superfície de formação de depósitos arqueológicos em uma paisagem fluvial árida australiana. Holocene 26 , 450–463 (2016).

    PUBLICIDADES  Artigo  Google Scholar 

  98. 98

    Commendador, AS, Dudgeon, JV, Fuller, BT & Finney, BP Datação por radiocarbono de material esquelético humano em Rapa Nui: avaliando o efeito da incerteza no carbono derivado do mar. Radiocarbon 56 , 277–294 (2014).

    CAS  Artigo  Google Scholar 

  99. 99

    Stevenson, CM, Williams, C., Carpenter, E., Hunt, CS & Novak, SW Cavernas modificadas arquitetonicamente em Rapa Nui: espaços rituais de contato pós-europeus? Rapa Nui J. 32 , 1-36 (2019).

    Artigo  Google Scholar 

  100. 100

    Heaton, TJ et al. Marine20 - a curva de calibração da idade do radiocarbono marinho (0–55.000 cal BP). Radiocarbon 62 , 779–820 (2020).

    CAS  Artigo  Google Scholar 

  101. 101

    Beck, JW, Hewitt, L., Burr, GS, Loret, J. & Hochstetter, FT Mata ki te rangi: olhos para o céu. in Easter Island: Scientific Exploration Into the World Environmental Problems in Microcosm (eds. Loret, J. & Tanacredi, JT) 93-112 (Kluwer Academic / Plenum Publishers, 2003).

  102. 102

    Burr, GS et al. Idade dos reservatórios moderna e Pleistoceno inferida dos corais do Pacífico Sul. Radiocarbon 51 , 319–335 (2009).

    CAS  Artigo  Google Scholar 

  103. 103

    DiNapoli, RJ et al. As correções de reservatórios marinhos para o Caribe demonstram alta variabilidade intra e inter-ilhas nas compensações de reservatórios locais. Quat. Geochronol. 61 , 101126 (2021).

Nenhum comentário:

Postar um comentário

Observação: somente um membro deste blog pode postar um comentário.